Qoo10-Indonesia – Pasar Global Fashion dan Tren Terkemuka

WWW.QOO10.CO.ID

Kamis, 05 Desember 2013

HARI GURU NASIONAL



ACARA HARI GURU SMAN 1 SIBOLGA
Hari guru di SMA N 1 Sibolga di awali dengan upacara bendera, kemudian di lanjutkan dengan penyematan bunga dan salam-salaman antar guru dan siswa. 
Dalam rangka memeriahkan hari guru, OSIS SMAN 1 Sibolga mengadakan lomba drama. 
 







 

Senin, 18 November 2013

IMPULS DAN MOMENTUM



A. MOMENTUM

Dalam fisika, momentum berkaitan dengan kuantitas gerak yang dimiliki oleh suatu benda yang bergeak yaitu kecepatan. Dalam hal ini, momentum didefinisikan sebagai hasil kali antara massa dan kecepatan benda.
Secara matematis momentum dapat ditentukan dengan persamaan,

p = m.v

dengan, m = massa benda (kg)
v = kecepatan benda (m/s)
p = monetum benda (kg.m/s)

Karena kecepatan merupakan besaran vektor, sedangkan massa merupakan besaran skalar, maka momentum merupakan besaran vektor. Jadi momentum mempunyai nilai dan arah.

Contoh :
Sebuah benda bermassa 10 kg bergerak ke kanan dengan kecepatan 5 m/s. Untuk menyatakan momentum benda tidak cukup dengan menyatakan benda memiliki momentum sebesar 50 kg.m/s, tetapi arahnya harus disebutkan. Dalam hal ini benda memiliki momentum sebesar 50 kg.m/s ke kanan.

B. IMPULS

Apabila sebuah gaya F bekerja pada sebuah benda bermassa m dalam selang waktu tertentu ∆t sehingga kecepatan benda tersebut berubah, maka momentum benda tersebut akan berubah. Dalam hal ini, berdasarkan hukum kedua Newton dan definisi percepatan, maka diperoleh persamaan berikut,

Jika kedua persamaan di atas disubstitusikan, akan diperoleh persamaan,

F. ∆t = mv2 – mv1

F. ∆t dinamakan impuls, dan mv2 – mv1 adalah perubahan momentum (momentum akhir - momentum awal). Dengan demikian diperoleh hubungan impuls dan momentum sebagai berikut,
I = F. ∆t = ∆p = mv2 – mv1

dengan, I = impuls (N.s)
F = gaya (N)
∆t = selang waktu (s)
∆p = perubahan momentum (kg.m/s)
Dari persamaan di atas dapat dikatakan, impuls adalah perubahan momentum yang dialami suatu benda.

C. HUKUM KEKEKALAN MOMENTUM

Dua benda bergerak saling mendekat dengan kecepatan v1 dan v2 seperti tampak pada gambar berikut. Kedua bola akan bertumbukan sehingga setelah tumbukan benda (1) akan berbalik arah ke kiri dengan kecepatan v1 dan benda (2) akan berbalik arah ke kanan dengan kecepatan v2.
Perhatikan gambar berikut!


Pada peristiwa semua tumbukan akan berlaku hukum kekekalan momentum, sehingga pada proses tumbukan tersebut berlaku,
“momentum kedua benda sebelum tumbukan sama dengan momentum kedua benda setelah tumbukan”
sehingga berlaku persamaan,

m1 v1 + m2 v2 = m1 v1 + m2 v2
p1 + p2 = p1 + p2

Persamaan di atas disebut dengan hukum kekekalan momentum. Dalam hal ini hukum kekekalan momentum menyatakan bahwa “jumlah momentum benda sebelum tumbukan sama dengan jumlah meomentum benda setelah tumbukan”.

D. JENIS-JENIS TUMBUKAN

Peristiwa tumbukan antara dua buah benda dapat dibedakan menjadi beberapa jenis, yaitu :
 tumbukan lenting sempurna
 tumbukan lenting sebagian
 tumbukan tidak lenting sama sekali

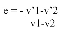
Perbedaan tumbukan = tumbukan tersebut dapat diketahui berdasarkan nilai koefisien tumbukan (koefisien restitusi) dari dua benda yang bertumbukan.
Secara matematis, koefisien restitusi dapat dinyatakan dengan persamaan,

dengan, e = koefisien restitusi (0 ≤ e ≤ 1)
1. Tumbukan Lenting Sempurna
Tumbukan antara dua buah benda dikatakan lenting sempurna apabila jumlah energi kinetik benda sebelum dan sesudah tumbukan tetap, sehingga nilai koefisien restitusi sama dengan 1 (e = 1).

Sehingga pada tumbukan lenting sempurna berlaku hukum kekekalan momentum dan hukum kekekalan energi kinetik, persamaan yang digunakan adalah :

2. Tumbukan Lenting Sebagian

Pada tumbukan lenting sebagian, hukum kekekalan energi kinetik tidak berlaku karena terjadi perubahan energi kinetik sebelum dan sesudah tumbukan. Pada tumbukan lenting sebagian hanya berlaku hukum kekekalan momentum saja dan koefisien restitusi tumbukan lenting sebagian mempunyai nilai diantara nol dan satu.
Persamaan yang digunakan adalah :
3. Tumbukan Tidak Lenting Sama Sekali

Tumbukan antara dua buah benda dikatakan tidak lenting sama sekali sesudah tumbukan keduabenda menjadi satu (bergabung), sehingga kedua benda memiliki kecepatan sama yaitu v’.
v’1 = v’1 = v’

Pada tumbukan tidak lenting sama sekali, jumlah energi kinetik benda sesudah tumbukan lebih kecil dibanding jumlah energi kinetik benda sebelum tumbukan. Jadi pada tumbukan ini terjadi pengurangan energi kinetik.
Nilai koefisien restitusi pada tumbukan tidak lenting sama sekali adalah nol (e = 0).
Sehingga pada tumbukan tidak lenting sama sekali berlaku persamaan matematis :

m1 v1 + m2 v2 = (m1 + m2 ) v’

STRUKTUR DAN FUNSSI ORGANEL SEL


1.  Inti (nukleus)
inti sel bertugas mengendalikan semua aktivitas sel mulai metabolisme hingga pembelahan sel. Pada sel   eukariotik, inti diselubungi oleh membran inti (karioteka) rangkap dua dan berpori, sedangkan pada sel prokariotik inti tidak memiliki membran. Di dalam inti didapati cairan yang disebut nukleoplasma, kromosom yang umumnya berupa benang kromatin, dan anak inti (nukleolus) yang merupakan tempat pembentukan asam ribonukleat (ARN).
2.  Retikulum Endoplasma
Organel ini berupa sistem membran yang berlipat-lipat, menghubungkan antara membran sel dengan membran inti, dan berperan dalam proses transpor zat intra sel. Ada dua macam RE yaitu RE halus dan RE kasar yang permukaannya ditempeli banyak ribosom.
3.  Ribosom
Ribosom berfungsi sebagai tempat sintesis protein dan merupakan contoh organel yang tidak bermembran. Organel ini terutama disusun oleh asam ribonukleat, dan terdapat bebas dalam  sitoplasma maupun melekat pada RE.
4.  Badan Golgi
Organel ini berbentuk seperti kantong pipih, berfungsi dalam proses sekresi lendir, glikoprotein, karbohidrat, lemak, atau enzim, serta berfungsi membentuk lisosom. Karena fungsinya dalam hal sekresi, maka badan golgi banyak ditemui pada sel-sel penyusun kelenjar.
5.  Lisosom
Berbentuk kantong-kantong kecil dan umumnya berisi enzim pencernaan (hidrolisis) yang berfungsi dalam peristiwa pencernaan intra sel. Sehubungan dengan bahan yang dikandungnya lisosom memiliki peran dalam peristiwa: 
·         pencernaan intrasel:    mencerna materi yang diambil secara fagositosis
·         eksositosis :pembebasan sekrit keluar sel
·         autofagi : penghancuran organel sel yang sudah rusak
·         autolisis : penghancuran diri sel dengan cara melepaskan enzim pencerna dari dalam lisosom ke  dalam sel. Contoh peristiwa ini adalah proses kematian sel secara sistematis saat pembentukan jari tangan, atau hilangnya ekor berudu yang mulai beranjak dewasa.

 
6.  Mitokondria
Mitokondria adalah organel yang berfungsi sebagai tempat
respirasi aerob untuk pembentukan ATP sebagai sumber energi sel. Organel yang hanya dimiliki oleh sel aerob ini memiliki dua lapis membran. Membran bagian dalam berlipat-lipat dan disebut krista, berfungsi memperluas permukaan sehingga proses pengikatan oksigen dalam respirasi sel berlangsung lebih efektif. Bagian yang terletak diantara membran krista berisi cairan yang disebut matriks banyak mengandung enzim pernafasan atau sitokrom.

7.  Mikrotubulus dan Mikrofilamen (sitoskeleton)
Mikrotubulus berbentuk seperti benang silindris, disusun oleh protein yang disebut tubulin. Sifat mikrotubulus kaku sehingga diperkirakan berfungsi sebagai ‘kerangka’ sel karena berfungsi melindungi dan memberi bentuk sel. Mikrotubulus juga berperan dalam pembentukan sentriol, silia, maupun flagela.Mikrofilamen mirip seperti mikrotubulus, tetapi diameternya lebih kecil. Bahan yang membentuk mikrofilamen adalah aktin dan miosin seperti yang terdapat pada otot. Dari hasil penelitian diketahui ternyata mikrofilamen berperan dalam proses pergerakan sel, endositosis, dan eksositosis. Gerakan Amuba merupakan contoh peran dari mikrofilamen.

8.  Sentrosom
Sentrosom merupakan organel yang disusun oleh dua sentriole. Sentriole berbentuk seperti tabung dan disusun oleh mikrotubulus yang terdiri atas 9 triplet,  terletak di dekat salah satu kutub inti sel. Sentriole ini berperan dalam proses pembelahan sel dengan membentuk benang spindel. Benang spindel inilah yang akan menarik kromosom menuju ke kutub sel yang berlawanan.

9.  Vakuola
Merupakan rongga yang terbentuk di dalam sel, dan dibatasi membran yang disebut tonoplas. Pada tumbuhan vakuola berukuran sangat besar dan umumnya termodifikasi sehingga berisi alkaloid, pigmen anthosianin, tempat penimbunan sisa metabolisme, ataupun tempat penyimpanan zat makanan. Pada sel hewan vakuolanya kecil atau tidak ada, kecuali hewan bersel satu. Pada hewan bersel satu terdapat dua jenis vakuola yaitu vakuola makanan yang berfungsi dalam pencernaan intrasel dan vakuola kontraktil yang berfungsi sebagai osmoregulator.

10.Plastida
Merupakan organel yang umumnya berisi pigmen. Plastida yang berisi pigmen klorofil disebut kloroplas, berfungsi sebagai organel utama penyelenggara proses
fotosintesis. Kromoplas adalah plastida yang berisi pigmen selain klorofil, misalkan karoten, xantofil, fikoerithrin, atau fikosantin, dan memberikan warna pada mahkota bunga atau warna pada alga. Plastida yang tidak berwarna disebut leukoplas, termodifikasi sedemikian rupa sehingga berisi bahan organik. Ada beberapa macam leukoplas berdasar bahan yang dikandungnya: amiloplas berisi amilum, elaioplas (lipoplas) berisi lemak, dan proteoplas berisi protein.

11.Peroksisom atau Badan Mikro
Peroksisom merupakan kantong kecil yang berisi enzim katalase, berfungsi menguraikan peroksida (H2O2) yang merupakan sisa metabolisme yang bersifat toksik menjadi air dan oksigen. Organel ini banyak ditemui pada sel hati. Glioksisom adalah badan mikro pada tumbuhan, berperan dalam proses pengubahan senyawa lemak menjadi sukrosa.

SEJARAH PERKEMBANGAN DAN STRUKTUR ATOM


   Teori atom selalu mengalami perkembangan dari waktu ke waktu sesuai dengan penemuan penemuan terbaru mengenai atom.Pada bahasan ini kita akan mempelajari secara singkat perkembangan teori atom mulai dari yang sederhana hingga teori teori yang dikembangkan berdasarkan penemuan penemuan secara experimen.Teori terbaru merupakan perbaikan atau perkembangan dari teori sebelumnya.
    Teori atom telah lam berkembang mulai dari beberapa abad sebelum masehi.Teori ini telah menjadi pertanyaan besar dikalangan para ahli filsafat yunani.Demokritus ( 464SM ) berpendapat bahwa suatu materi bersifat diskontinu,artinya jiak suatu materi dibelah belah secara terus menerus,akan diperoleh materi yang tidak dapat dibelah lagi. Bagian terkecil tidak dapat dibelah lagi tersebut dinamakan ATOMOS. Generasi penerusnya,seperti Plakto dan Aristoteles tidak meneruskan pemikiran itu.Menurut mereka,materi bersifat kontinu yang berarti materi dapat dibelah terus menerus.perbedaan pendapat ini terus berkembang hingga muncul teori teori atom Dalton yang mulai berpijak pada penemuan secara eksperimen
1. TEORI ATOM DALTON
     Jhon Dalton adalah seorang guru kebangsaan inggris. Dia mengemukakan teori berdasarkan HUKUM KEKEKALAN MASSA yang dikemukakan oleh Antonie Lavoiser yang menyatakan bahwa dalam suatu reaksi, massa sebelum dan massa sesudah reaksi adalah sama dan HUKUM PERBANDINGAN TETAP  yang dikemukakan oleh Joseph Proust yang menyatakan bahwa dalam suatu zat kimia murni, perbandingan massa unsur unsur dalam tiap senyawa dalah tetap
.
Pokok Pokok teori atom Dalton yaitu:
a. atom merupakan bagian terkecil dari materi yang tidak dapat dibagi lagi.
b. atom digambarkan sebagai bola pejal yang sangat kecil. suatu unsur memiliki bilangan bulat dan sederhana.
c. atom atom bergabung membentuk senyawa dengan perbandingan bilangan bulat dan sederhana .misalnya air terdiri dari atom atom hidrogen dan atom atom oksigen.
d. reaksi kimia merupakan pemisahan,penggabungan atau penyusunan kembali atom atom,sehingga atom tidak dapat diciptakan dan tidak dapat dimusnahkan.Hipotesis dalton digambarkan dengan model atom sebagai bola pejal seperti bola tolak peluru
              
 2. TEORI ATOM J.J.THOMSON
     Teori atom Dalton cukup lama dianut oleh para ahli saat ini hingga ditemukan nya elektron yang bermuatan negatif oleh J J THOMSON pada tahun 1897. Penemuan elektron ini mematahkan teori dalton bahwa atom merupakan materi terkecil. oleh karena elektron bermuatan negatif, maka thomson berfikir bahwa ada muatan positif sebagai penyeimbang.Dengan demikian atom bersifat netral
      Model atom Thomson menggambarkan bahwa atom merupakan suatu bola yang bermuatan positif. Sementara itu, elektron ( yang negatif) tersebar merata dipermukaan bola seperti kismis pada roti kismis.
                            jumlah muatan positif = jumlah muatan negatif
           
* Kelebihan model atom Thomson 
    membuktikan adanya partikel lain dalam atom yaitu elektron yang bermuatan negatif , sehingga atom bukan partikel terkecil lagi
* Kelemahan model atom Thomson 
     belum dapat menerangkan bagaimana susunan muatan positif dalam bola dan jumlah elektron


  3. TEORI ATOM RHUTERFORD
   Latar belakang teori atom Rutherford. Rutherford bersama dua orang muridnya (Hans Geiger dan Erners Masreden) melakukan percobaan yang dikenal dengan hamburan sinar alfa (λ) terhadap lempeng tipis emas (gambar a). Sebelumya telah ditemukan adanya partikel alfa, yaitu partikel yang bermuatan positif dan bergerak lurus, berdaya tembus besar sehingga dapat menembus lembaran tipis kertas.

Percobaan tersebut sebenarnya bertujuan untuk menguji pendapat Thomson, yakni apakah atom itu betul-betul merupakan bola pejal yang positif yang bila dikenai partikel alfa akan dipantulkan atau dibelokkan.Dari pengamatan mereka (gambar b), didapatkan fakta bahwa apabila partikel alfa ditembakkan pada lempeng emas yang sangat tipis, maka sebagian besar partikel alfa diteruskan (ada penyimpangan sudut kurang dari 1°), tetapi dari pengamatan Marsden diperoleh fakta bahwa satu diantara 20.000 partikel alfa akan membelok sudut 90° bahkan lebih.

Berdasarkan gejala-gejala yang terjadi, diperoleh beberapa kesimpulan beberapa berikut:
1.    Atom bukan merupakan bola pejal, karena hampir semua partikel alfa diteruskan
2.    Jika lempeng emas tersebut dianggap sebagai satu lapisan atom-atom emas, maka didalam atom emas terdapat partikel yang sangat kecil yang bermuatan positif.
3.    Partikel tersebut merupakan partikelyang menyusun suatu inti atom, berdasarkan fakta bahwa 1 dari 20.000 partikel alfa akan dibelokkan. Bila perbandingan 1:20.000 merupakan perbandingan diameter, maka didapatkan ukuran inti atom kira-kira 10.000 lebih kecil daripada ukuran atom keseluruhan.
                                                   
   
       
 

Berdasarkan fakta-fakta yang didapatkan dari percobaan , Rutherford mengusulkan model atom yang dikenal dengan Model Atom Rutherford.

Rutherford yang menyatakan bahwa:
1.Atom terdiri dari inti atom yang sangat kecil dan bermuatan positif, dikelilingi oleh elektron yang bermuatan negatif.
2.Rutherford menduga bahwa di dalam inti atom terdapat partikel netral yang berfungsi mengikat partikel-partikel positif agar tidak saling tolak menolak.
            

* Kelebihan dari model atom ini  
       Membuat hipotesa bahwa atom tersusun dari inti atom dan elektron yang mengelilingi inti
*.Kelemahan dari Rutherford 
    tidak dapat menjelaskan mengapa elektron tidak jatuh ke dalam inti atom. Berdasarkan teori fisika,    gerakan elektron mengitari inti ini disertai pemancaran energi sehingga lama - kelamaan energi elektron akan berkurang dan lintasannya makinlama akan mendekati inti dan jatuh ke dalam inti

4. TEORI ATOM NEILS BOHR

      Kelemahan dari Rutherford diperbaiki oleh Niels Bohr denganpercobaannya menganalisa spektrum warna dari atom hidrogen yang berbentuk garis.
Hipotesis Bohr adalah:
 
a. Atom terdiri dari inti yang bermuatan positif dan dikelilingi oleh elektron yang bermuatan negatif di dalam suatu lintasan. 
b. Elektron dapat berpindah dari satu lintasan ke yang laindengan menyerap atau memancarkan energi sehingga energi elektron atom itu tidak akan berkurang.Jika berpindah lintasan ke lintasan yang lebih tinggi maka elektron akan menyerap energi.Jika beralih ke lintasan yang lebih rendah maka akan memancarkan energi.
                   
 
 
*. Kelebihan atom Bohr 
       adalah bahwa atom terdiri dari beberapa kulit untuk tempat berpindahnya elektron.  
*. Kelemahan 
      model atom ini adalah: tidak dapat menjelaskan spekrum warna dari atom berelektron banyak. Sehingga diperlukan model atom yang lebih sempurna dari model atom Bohr.

5. TEORI ATOM MODERN
 
  Kulit kulit atom bukan merupakan kedudukan yang pasti dari suatu elektron, melainkan hanyalah sutu kebolehjadiannya. Teori ini sesuai dengan teori ketidakpastian yang dikemukakan Heisenberg. Teori ketidakpastian Heisenberg menyatakan bahwa kedudukan dan kecepatan gerak elektron tidak dapat ditentukan secara pasti, yang dapat ditentukan hanyalah kemungkinana terbesarnya atau probabilititasnya. Dengan demikian kedudukan dan kecepatan gerakan elektron dalam atom berada diruang tertentu dalam atom tersebut yang disebut orbital. teori mengenai elektron berada dalam orbital diseputar inti atom inilah yang merupakan pokok teori atom modern.